Maschinelles Lernen für die Algenkultivierung

Mikroalgen produzieren eine Vielzahl interessanter Inhaltsstoffe und sind daher eine ideale Quelle für Lebensmittel, Futtermittel, Kosmetika und Feinchemikalien. Obwohl der grundlegende Mechanismus des Mikroalgenwachstums gut untersucht ist, gibt es nur wenige mathematische Modelle, mit denen das Mikroalgenwachstum abgebildet werden kann. Solche Modelle sind vor allem für die Kultivierung von Mikroalgen im großen Maßstab wichtig und dienen als Basis für ein robustes, prädiktives Steuerungssystem. Ein wesentlicher Baustein dabei sind Algorithmen, die eine automatische Optimierung der mathematischen Modelle ermöglichen. Das sogenannte maschinelle Lernen wird häufig für die Vorhersage und Optimierung in unterschiedlichen Bereichen eingesetzt. Zur Vorhersage des Wachstumsverhaltens der Mikroalge Phaeodactylum tricornutum im Freiland werden am Fraunhofer IGB sogenannte Support Vector Machines (SVM) eingesetzt. Die Ergebnisse zeigen, dass das SVM‑basierte Modell die Wachstumsrate von Phaeodactylum tricornutum mit einem Korrelationskoeffizienten von 88 Prozent vorhersagen kann. Gleichzeitig ergibt ein Modell mit Monod‑Kinetik einen Korrelationskoeffizienten von 82 Prozent. Diese beiden Modelle werden sowohl im Labor‑ als auch im Pilotmaßstab weiter validiert, um eine modellprädiktive Regelung für die Mikroalgenproduktion zu etablieren.

© ö_konzept/Fraunhofer CBP
180-Liter-Reaktormodule der Freilandanlage am Fraunhofer CBP in Leuna.

Die Erfordernisse des Klima‑ und Umweltschutzes sowie die weiter wachsende Weltbevölkerung tragen dazu bei, dass die vornehmlich auf fossilen Ressourcen basierte Wirtschaftsweise an ihre natürlichen Grenzen stößt. Mit dem Pariser Klimaschutzabkommen 2015 hat die Weltgemeinschaft den Konsens verabschiedet, die Emission von Treibhausgasen und damit die Umweltzerstörung zu reduzieren. Eine Möglichkeit, diesen Problemen zu begegnen, stellt die Nutzung von Mikroalgen dar. Während ihres Wachstums nutzen sie Kohlenstoffdioxid als Kohlenstoffquelle. Aufgrund der Kultivierung in wässrigen Medien bietet sich die Möglichkeit, Agrarflächen einzusparen.

Mikroalgen produzieren eine Vielzahl von Stoffen mit hohem Wertschöpfungspotenzial wie gesundheitsfördernde Omega‑3‑Fettsäuren, antioxidativ wirkende Carotinoide, Pigmente oder polymere Speicherstoffe. Sie eignen sich daher hervorragend als nachhaltige Quelle zur Herstellung von Lebensmitteln, Kosmetikprodukten, Chemikalien, Pharmazeutika und Biokraftstoffen. Unter Berücksichtigung ökonomischer und ökologischer Aspekte sollten Mikroalgen unter Verwendung des natürlichen Tageslichts als Energiequelle im Freiland und im großen Maßstab kultiviert werden. Die Kultivierung von Mikroalgen wird am Fraunhofer IGB in sogenannten Flachplatten‑Airlift‑Bioreaktoren (FPA) durchgeführt. Hier besteht die große Herausforderung darin, dass bis heute noch kein robustes und bewährtes vollautomatisiertes Steuerungssystem für die Algenreaktoren etabliert ist. Dies liegt vorrangig an fehlenden Modellen, mit denen das Algenwachstum und die Produktbildung in den Algenzellen gesteuert werden können.

Das Ziel der Forschungsarbeiten am Fraunhofer IGB ist daher die Einführung von datenbasierten Algorithmen – generiert über Methoden des maschinellen Lernens – zur Steuerung der Algenkultivierung, um einen ökonomischen, ökologischen und robusten Algenproduktionsprozess im industriellen Maßstab zu entwickeln. Dazu entwickeln wir datengetriebene Modelle für die effiziente Herstellung zum einen von Algenbiomasse und zum anderen für die Anreicherung von intrazellulären Produkten.

Für die automatisierte und robuste Steuerung von Algenproduktionsprozessen wird ein zuverlässiges Modell erstellt, das das Algenwachstum gut beschreiben und vorhersagen kann. Die datenbasierte Regelung wird in der Algenkultivierung bisher noch nicht angewendet. In anderen Bereichen wie in der Fluiddynamik und Bioinformatik ist sie jedoch bereits weit verbreitet. Der Großteil der Modellierung des Algenwachstums wurde bereits anhand der zur Verfügung stehenden Daten erfolgreich abgeschlossen.

Konzept und Ergebnisse

Die Modellierung und die Regelung der Kultivierung von Mikroalgen ist bekanntermaßen vielschichtiger als die von Bakterien oder Hefen. Dies ist hauptsächlich auf das komplexe Wachstumsverhalten mit Licht und das Fehlen robuster Online‑Überwachungsmethoden und Modelle für das Wachstum von Mikroalgen zurückzuführen.

Verbesserte Überwachung des Algenwachstums

Die beliebteste Methode zur Überwachung des Wachstums von Mikroalgen ist beispielsweise der OD‑Sensor (Optical Density), der die Lichtschwächung durch die Kultur misst, um die Biomassekonzentration zu berechnen. Unter sich ändernden Wachstumsbedingungen können Algenzellen jedoch ihre Größe, Form und ihren Pigmentgehalt ändern, was einen großen Einfluss auf die Genauigkeit der Messung mit dem OD‑Sensor hat. Die andere Herausforderung bei der Kultivierung von Mikroalgen ist der große Unterschied des Wachstumsverhaltens von Kulturen im Labor und im Freiland, da die Bedingungen für eine Freilandkultivierung im großen Maßstab weitaus komplizierter sind als im Labor. Daher liegt unser Fokus auf der Verbesserung des Online‑Monitorings und der Modellierung der Mikroalgenkultivierung im großen Maßstab, zunächst mit datengetriebenen Methoden.

Um die Online‑Überwachung zu verbessern, optimieren wir bereits die Kalibrierung bestehender OD‑Sensoren mit Kultivierungsdaten unter verschiedenen Bedingungen. Allerdings sind OD‑Sensoren sehr teuer und erfordern eine enorme Investition für die Algenkultivierung im großen Maßstab. Aus diesem Grund entwickeln wir auch andere Methoden, beispielsweise unter Verwendung von Kamera-, RGB- und Soft‑Sensoren zur Abschätzung der Biomassekonzentration. Das Ziel ist ein robustes, kostengünstiges Online‑Überwachungssystem für das Wachstum von Mikroalgen mit einer minimalen Anzahl von Sensoren im Kultivierungssystem.

Modellierung des Algenwachstums

Neben der Überwachung ist die Modellierung des Wachstums von Mikroalgen ein Grundstein zur Verbesserung der Produktivität einer Kultivierung. Um eine möglichst hohe Produktivität erzielen zu können, sollten Mikroalgen mit hoher Zelldichte kultiviert werden. Dies führt jedoch dazu, dass sich die Mikroalgen in der Kultur selbst beschatten. Diese gegenseitige Beschattung der Algenzellen ist sehr schwierig in einer Modellierung zu beschreiben. Wir haben die Lichtverteilung in unserem FPA‑Reaktor basierend auf dem Lambert‑Beer‑Gesetz simuliert, wie Abbildung 1 zeigt. Diese Simulation der Lichtverteilung wurde dann in einer Modellierung mit dem Monod‑Modell eingesetzt, das einen Korrelationskoeffizienten von 82 Prozent für die Vorhersage des Algenwachstums im Freiland lieferte.

Simulation der Lichtverteilung in einem FPA-Reaktor.
Simulation der Lichtverteilung in einem FPA-Reaktor.

Darüber hinaus haben wir einen maschinellen Lernalgorithmus, den sogenannten SVM (Support Vector Machine) eingesetzt. Mit diesem Ansatz konnten wir die Algenwachstumsrate mit einem Korrelationskoeffizienten von 88 Prozent vorhersagen. Beide Modelle können zur Optimierung der Steuerung der Mikroalgenkultivierung verwendet werden. Das monodkinetische Modell liefert ein besseres Verständnis des Algenwachstums im biologischen Sinne, während das SVM‑Modell eine bessere Vorhersage verspricht. Deshalb werden wir die Vorteile beider Methoden in unserem zukünftigen Steuerungssystem kombinieren.

Algenkultivierung mit LEDs

Um maßgeschneiderte Lösungen für die Mikroalgenkultivierung im großen Maßstab im Gewächshaus und im Freiland zu entwickeln, wird zunächst im Labormaßstab ein Kultivierungssystem mittels LED‑Beleuchtung entwickelt. Hierbei wird die optimale Lichtzufuhr mit einer Steuerung auf Basis der Modelle automatisch eingestellt und führt zu besseren Produktivitäten und Produktgehalten. Der Vorteil von LEDs ist die Möglichkeit, unter optimalen Lichtverhältnissen 24 Stunden pro Tag zu produzieren, dadurch wird das Reaktorvolumen maximal ausgenutzt. Zudem sind die Kosten für LEDs stark gesunken und Strom aus erneuerbaren Quellen verfügbar.

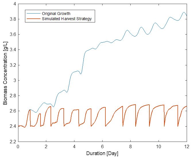
Optimierung der Erntestrategie

Beispiel für eine optimierte Erntestrategie im Freiland. Die blaue Linie stellt das ursprüngliche Wachstum von Mikroalgen ohne Erntestrategie dar. Demnach werden in 12 Tagen 1,2 g/L Biomasse gebildet. Die orange Linie zeigt die Menge und den Zeitpunkt für die Ernte der Mikroalgenkultur, die nach 12 Tagen 1,77 g/L mehr Biomassekonzentration ergibt als ohne Erntestrategie.

Ein weiterer wichtiger Aspekt für die Kultivierung, sowohl mittels LEDs als auch im Freiland, besteht in der Optimierung der Erntestrategie. Wird im Freiland kultiviert, kann die Erntestrategie dynamisch an die Wetterbedingungen angepasst werden. Auf diese Weise kann die Eigenbeschattung der Algen bei zu großen Lichtintensitäten durch das natürliche Sonnenlicht genutzt werden, indem die Zelldichte in den Reaktoren erhöht wird. Bei geringen Lichtintensitäten dagegen kann ein Teil der Algenbiomasse geerntet und die Kultur im Reaktor verdünnt werden. Die Simulation ist beispielhaft in Abbildung 2 dargestellt. Auf diese Weise können wir die Vorteile des Sonnenlichts voll ausschöpfen und dennoch die für die jeweils vorherrschenden Umgebungsbedingungen beste Produktivität erzielen.

Ausblick

Die bisher durchgeführten Arbeiten zeigen, dass es mit einem SVM‑basierten Modell möglich ist, das Algenwachstum unter komplexen Bedingungen im Freiland vorherzusagen. Das Ziel ist die Entwicklung einer modellprädiktiven Regelung für die Mikroalgenproduktion. Zudem wird auch das Potenzial des Modells für die Regelung und Optimierung der Algenproduktion in großem Maßstab deutlich. Die größte Herausforderung dabei ist der Mangel an zuverlässigen und kostengünstigen Online‑Sensoren zur Überwachung des Gehalts der Inhaltsstoffe. Deshalb muss in einem ersten Schritt der Gehalt der Inhaltsstoffe offline im Labor analysiert werden und in einem nächsten Schritt über mathematische Methoden eine Korrelation zu anderen Online‑Sensoren gefunden werden. Hierbei könnten beispielsweise eine Videokamera oder andere optische Sensoren zur Online‑Detektion des Farbspektrums verwendet werden. Auf diese Weise lässt sich mittels maschinellen Lernens ein weiteres Modell erstellen und in Kombination mit den Online‑Bilddaten ein Softsensor entwickeln, mit dem die Konzentration des Pigments in der Zelle geschätzt werden kann. Der Rahmen für die Verwendung datengetriebener Methoden zur Optimierung der Mikroalgenkultivierung kann auch auf andere Bioprozesse übertragen werden, wodurch unsere Arbeiten nicht nur für Mikroalgen, sondern auch für andere Anwendungen in der Biotechnologie von Nutzen sind.